12选5的计算公式是什么?
的有关信息介绍如下:12选5的计算公式为:C(12,5)=12!÷5!÷(12-5)!=(12×11×10×9×8)÷(5×4×3×2×1)=792
从n个不同元素中,任取m(m≤n,m与n均为自然数,下同)个元素按照一定的顺序排成一列,叫做从n个不同元素中取出m个元素的一个排列;从n个不同元素中取出m(m≤n)个元素的所有排列的个数,叫做从n个不同元素中取出m个元素的排列数,用符号 A(n,m)表示。
计算公式:

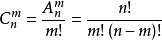
从n个不同元素中,任取m(m≤n)个元素并成一组,叫做从n个不同元素中取出m个元素的一个组合;从n个不同元素中取出m(m≤n)个元素的所有组合的个数,叫做从n个不同元素中取出m个元素的组合数。用符号 C(n,m) 表示。
计算公式:
;C(n,m)=C(n,n-m)。(n≥m)
扩展资料:
举例说明:
在11名工人中,有5人只能当钳工,4人只能当车工,另外2人能当钳工也能当车工。现从11人中选出4人当钳工,4人当车工,问共有几种不同的选法。
分析:采用加法原理首先要做到分类不重不漏,如何做到这一点?分类的标准必须前后统一。
以两个全能的工人为分类的对象,考虑以他们当中有几个去当钳工为分类标准。
第一类:这两个人都去当钳工,C(2,2)×C(5,2)×C(4,4)=10种;
第二类:这两个人都去当车工,C(5,4)×C(2,2)×C(4,2)=30种;
第三类:这两人既不去当钳工,也不去当车工C(5,4)×C(4,4)=5种。
第四类:这两个人一个去当钳工、一个去当车工,C(2,1)×C(5,3)×C(4,3)=80种;
第五类:这两个人一个去当钳工、另一个不去当车工,C(2,1)×C(5,3)×C(4,4)=20种;
第六类:这两个人一个去当车工、另一个不去当钳工,C(5,4)×C(2,1)×C(4,3)=40种;
因而共有185种。
参考资料:百度百科——排列组合



