样本量的计算公式
的有关信息介绍如下:(1)重复抽样方式下:n为样本容量、d为抽样误差范围、σ为标准差,一般取0.5。
变量总体重复抽样计算公式:

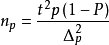
属性总体重复抽样:

(2)不重复抽样方式下:
变量总体不重复抽样计算公式:

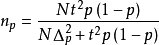
属性总体不重复抽样:


扩展资料
合理确定样本容量的意义:
1、样本容量过大,会增加调查工作量,造成人力、物力、财力、时间的浪费;
2、样本容量过小,则样本对总体缺乏足够的代表性,从而难以保证推算结果的精确度和可靠性;
3、样本容量确定的科学合理,一方面,可以在既定的调查费用下,使抽样误差尽可能小,以保证推算的精确度和可靠性;另一方面,可以在既定的精确度和可靠性下,使调查费用尽可能少,保证抽样推断的最大效果。



