透明质酸钠
的有关信息介绍如下:
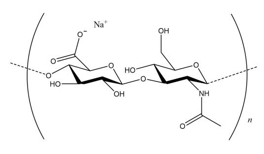
透明质酸钠,化学式为(C14H20NO11Na)n,是人体内一种固有的成分,是一种葡聚糖醛酸,没有种属特异性,它广泛存在于胎盘、羊水、晶状体、关节软骨、皮肤真皮层等组织、器官中。它分布在细胞质、细胞间质中,对其中所含的细胞和细胞器官本身起润滑与滋养作用。
想要了解更多“透明质酸钠”的信息,请点击:透明质酸钠百科

透明质酸钠,化学式为(C14H20NO11Na)n,是人体内一种固有的成分,是一种葡聚糖醛酸,没有种属特异性,它广泛存在于胎盘、羊水、晶状体、关节软骨、皮肤真皮层等组织、器官中。它分布在细胞质、细胞间质中,对其中所含的细胞和细胞器官本身起润滑与滋养作用。
想要了解更多“透明质酸钠”的信息,请点击:透明质酸钠百科