酮康唑
的有关信息介绍如下:
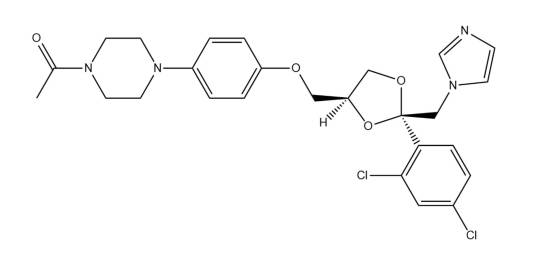
酮康唑,化学名称为顺-1-乙酰基-4-[4-[[2-(2,4-二氯苯基)-2-(1H-咪唑-1-基甲基)-1,3-二氧戊环-4-基]甲氧基]苯基]哌嗪,分子式为C26H28Cl2N4O4,是一种咪唑类广谱抗真菌药。
警示:国家食药监总局2015年6月25日发布通知称,酮康唑口服制剂因存在严重肝毒性不良反应,即日起停止生产销售使用,撤销药品批准文号;已上市的酮康唑口服制剂由生产企业于7月30日召回。
想要了解更多“酮康唑”的信息,请点击:酮康唑百科

酮康唑,化学名称为顺-1-乙酰基-4-[4-[[2-(2,4-二氯苯基)-2-(1H-咪唑-1-基甲基)-1,3-二氧戊环-4-基]甲氧基]苯基]哌嗪,分子式为C26H28Cl2N4O4,是一种咪唑类广谱抗真菌药。
警示:国家食药监总局2015年6月25日发布通知称,酮康唑口服制剂因存在严重肝毒性不良反应,即日起停止生产销售使用,撤销药品批准文号;已上市的酮康唑口服制剂由生产企业于7月30日召回。
想要了解更多“酮康唑”的信息,请点击:酮康唑百科