什么是两点之间的距离 什么定义
的有关信息介绍如下:在平面上,以这两点为端点的线段的长度就是这两点间的距离。
设两个点A、B以及坐标分别为 :A(x1,y1),B(x2,y2)则A和B两点之间的距离为:

两点间距离公式常用于函数图形内求两点之间距离、求点的坐标的基本公式,是距离公式之一。两点间距离公式叙述了点和点之间距离的关系。
扩展资料:
点到直线的距离:
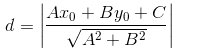
直线Ax+By+C=0 坐标(Xo,Yo)那么这点到这直线的距离就为:

公式描述:
公式中的直线方程为Ax+By+C=0,点P的坐标为(x0,y0)。
连接直线外一点与直线上各点的所有线段中,垂线段最短,这条垂线段的长度,叫做点到直线的距离。
数学中常见的距离:
1、欧氏距离(Euclidean distance),也称欧几里得度量、欧几里得度量,是一个通常采用的距离定义,它是在m维空间中两个点之间的真实距离。在二维和三维空间中的欧氏距离的就是两点之间的距离。
2、曼哈顿距离,出租车几何或曼哈顿距离(Manhattan Distance)是由十九世纪的赫尔曼·闵可夫斯基所创词汇 ,是种使用在几何度量空间的几何学用语,用以标明两个点在标准坐标系上的绝对轴距总和。
3、在数学中,切比雪夫距离(Chebyshev distance)或是L∞度量,是向量空间中的一种度量,二个点之间的距离定义是其各坐标数值差绝对值的最大值。以数学的观点来看,切比雪夫距离是由一致范数(uniform norm)(或称为上确界范数)所衍生的度量,也是超凸度量的一种。



