华罗庚优选法怎么去计算,具体的计算方法、
的有关信息介绍如下:就是0.618法。比如1~2之间,第一点是1+0.618,第二点是2-0.618,如此算下去。
0.618法又称黄金分割法,是优选法的一种。是在优选时把尝试点放在黄金分割点上来寻找最优选择。
0.618法是美国数学家Jack Kiefer于1953年提出,我国著名数学家华罗庚于20世纪60、70年代对其进行简化、补充,并在我国进行推广,目前广泛应用于各个领域。
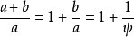
两个数a、b间的黄金比例φ满足: 
找到φ值的一种方法是从左分数开始。通过简化分数,并在上式中用b/a=1/φ替换,得:
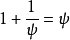
因此,有:
两边同时乘以φ,得到:
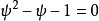
即:
使用二次公式,得到上述方程的两个解为:


由于φ是两个数之间的比例,必为正数,所以取值为1.6180339887...。

扩展资料:
0.618法是一种区间消去法。是对单峰函数,取搜索区间长度的0.618(黄金分割数的近似值)倍,按对称规则进行搜索的方法。每次的试验点均取在区间的0.618(从另一端看是0.382=1-0.618)倍处。它以不变的区间缩短率0.618,代替斐波那契法中每次不同的缩短率。
当n→∞时,0.618法的缩短率约为斐波那契法的1.17倍,故0.618法也可以看成是斐波那契法的近似。0.618法实现起来比较方便,效果也比较好,也是优选法中进行单因素试验常用的方法。
同时也是单因素试验设计最常用的方法。已知某试验因素有一个确定了范围的取值域〔a,b〕,0.618法就是先在此区间的0.618处取值,作第一次试验; 然后在0.618的对称点0.382处取值,作第二次试验;比较两次试验的结果。
去掉交差点以外的试验因素取值区间,然后在余下的较好试验点的对称点处取值,作第三次试验,再次比较两试验结果,再去掉差点以外的试验因素取值区间,逐步缩小试验范围,找到最佳试验点,确定该因素的最佳取值。
参考资料:百度百科-0.618法



