卡尔曼方程
的有关信息介绍如下:
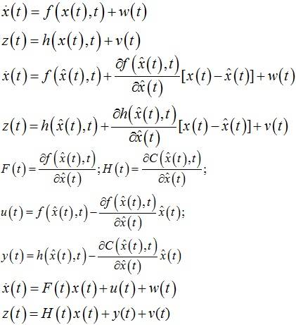
卡尔曼滤波器是一种由卡尔曼(Kalman)提出的用于时变线性系统的递归滤波器。这个系统可用包含正交状态变量的微分方程模型来描述,这种滤波器是将过去的测量估计误差合并到新的测量误差中来估计将来的误差。
想要了解更多“卡尔曼方程”的信息,请点击:卡尔曼方程百科

卡尔曼滤波器是一种由卡尔曼(Kalman)提出的用于时变线性系统的递归滤波器。这个系统可用包含正交状态变量的微分方程模型来描述,这种滤波器是将过去的测量估计误差合并到新的测量误差中来估计将来的误差。
想要了解更多“卡尔曼方程”的信息,请点击:卡尔曼方程百科