枸橼酸铋雷尼替丁
的有关信息介绍如下:
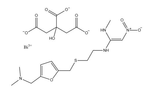
枸橼酸铋雷尼替丁,是一种有机化合物,化学式为C19H27BiN4O10S,是一种H2受体拮抗药,为枸橼酸铋和雷尼替丁经过化学合成的一种新型抗胃酸分泌及胃黏膜保护药,既具有雷尼替丁的H2受体拮抗药的抑制胃酸分泌作用,又有胶体铋抗幽门螺杆菌和保护胃黏膜的作用,其生物作用优于枸橼酸铋和雷尼替丁的混合物。
想要了解更多“枸橼酸铋雷尼替丁”的信息,请点击:枸橼酸铋雷尼替丁百科

枸橼酸铋雷尼替丁,是一种有机化合物,化学式为C19H27BiN4O10S,是一种H2受体拮抗药,为枸橼酸铋和雷尼替丁经过化学合成的一种新型抗胃酸分泌及胃黏膜保护药,既具有雷尼替丁的H2受体拮抗药的抑制胃酸分泌作用,又有胶体铋抗幽门螺杆菌和保护胃黏膜的作用,其生物作用优于枸橼酸铋和雷尼替丁的混合物。
想要了解更多“枸橼酸铋雷尼替丁”的信息,请点击:枸橼酸铋雷尼替丁百科