三氯蔗糖
的有关信息介绍如下:
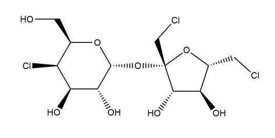
三氯蔗糖,俗称蔗糖素,是一种高倍甜味剂,分子式为C12H19Cl3O8。稳定性高,对光、热、pH均很稳定。极易溶于水、甲醇和乙醇,微溶于乙醚。10%水溶液的pH为5~8。 在1976年由英国泰莱公司与伦敦大学共同研制并申请专利的一种新型甜味剂,并于1988年投入市场,是唯一以蔗糖为原料的功能性的甜味剂,原始商标名称为Splenda,可达到蔗糖的甜度约600倍(400~800倍)。三氯蔗糖特点具有无能量,高甜度,纯正甜味,安全度高等,也是最理想的甜味剂之一。
想要了解更多“三氯蔗糖”的信息,请点击:三氯蔗糖百科



